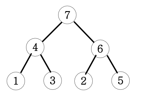
최대힙은 완전이진트리로 구현된 자료구조입니다. 그 구성은 부모 노드값이 왼쪽자식과 오른 쪽 자식노드의 값보다 크게 트리를 구성하는 것입니다. 그렇게 하면 트리의 루트(root)노드는 입력된 값들 중 가장 큰 값이 저장되어 있습니다. 예를 들어 5 3 2 1 4 6 7순으로 입력되면 최대힙 트리는 아래와 같이 구성됩니다.

최대힙 자료를 이용하여 다음과 같은 연산을 하는 프로그램을 작성하세요. 1) 자연수가 입력되면 최대힙에 입력한다.
2) 숫자 0 이 입력되면 최대힙에서 최댓값을 꺼내어 출력한다.
(출력할 자료가 없으면 -1를 출력한다.) 3) -1이 입력되면 프로그램 종료한다.
▣ 입력설명
첫 번째 줄부터 숫자가 입력된다. 입력되는 숫자는 100,000개 이하이며 각 숫자의 크기는 정 수형 범위에 있다.
▣ 출력설명
2) 연산을 한 결과를 보여준다.
▣ 입력예제 1
5
3
6
0
5
0
2
4
0
-1
▣ 출력예제 1
6
5
5
#import sys
#sys.stdin = open('in.txt', 'rt')
import heapq as hq
a = []
while True:
n = int(input())
if n == -1:
break
elif n == 0:
if len(a) == 0:
print(-1)
break
else:
print(-hq.heappop(a))
else:
hq.heappush(a, -n)
'Algorithm > Python' 카테고리의 다른 글
| 044 - 이진트리 순회(깊이우선탐색) (0) | 2023.08.25 |
|---|---|
| 043 - 재귀함수를 이용한 이진수 출력 (0) | 2023.08.24 |
| 041 - 최소힙 (0) | 2023.08.24 |
| 040 - Anagram(아나그램, Dict/리스트 자료구조) (0) | 2023.08.23 |
| 039 - 단어 찾기 (0) | 2023.08.23 |